Making Communication as Simple as Building Blocks.
Technical Documents
Synchronous HDLC Application Based on RS-232 Interface
1. RS-232 simplex HDLC communication

2. RS-232 full duplex HDLC communication

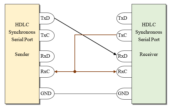
3. External clock sending method
External clock Sending mode, the receiver provides the clock.
